5. 직선식에 대한 최소제곱법
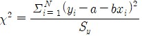
• 측정한 값들에 가장 근접하는 직선식을 구하기 위해
χ2=∑Ni=1(yi−a−bxi)2Sy2(1)
(1)
가 최소가 되는
,
b
를 찾는다. 그 결과
,
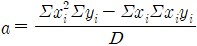
를 찾는다. 그 결과
(2)
(3)
여기서
(4)
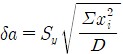
,
의 불확도(표준편차)
,
는 각각
(5)
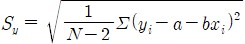
(6)
여기서
의 표준편차
는
(7)
