4. 오차의 전파
4-1. 오차의 전파란?
• 어떤 물리량을 측정값으로부터 계산하여 간접적으로 구할 때, 측정값의 오차(불확도)가 구하고자 하는 물리량의 오차(불확도)에 영향을 미치는 것을 오차의 전파라고 한다.
• 각 측정값의 오차(불확도)가 결과값에 어떤 영향을 미치는지 알아볼 수 있다.
예:
직사각형의 가로(
)와 세로(
)의 길이를 측정하여 면적(
)을 구하는 경우(
)
가로 측정값과 불확도
,
세로 측정값과 불확도
,

직사각형 면적
직사각형 면적의 불확도
는?
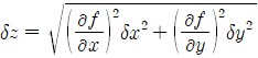
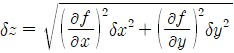
4-2. 오차의 전파 공식
• 측정값
,
로부터
인 관계를 가진 물리량
를 구한다고 하면
(1)
)2δx2+(1)
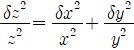
•
인 경우
, 
(2)
•
인 경우
, 

(
) (3)
또는
(4)
예
가로 평균
, 가로 표준오차(불확도) 
세로 평균
, 세로 표준오차 
면적 평균 
면적의 불확도
는


